Keyness in Subgenres des französischen Romans
Workshop Digitale Gattungshermeneutik, LMU München
13 Sep 2024
La différence n’est pensée que dans le jeu comparé de deux similitudes.
(Gilles Deleuze, Différence et répétition, 1968)


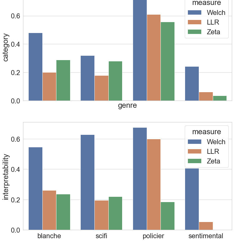
| Genre-Profil | Zeta | LLR | Welch |
|---|---|---|---|
| The language patterns of French detective fiction are characterized by sociolects, informal register and the simulation of direct speech | cop, screw, guy, fella, guy, dumb, stuff, shit, eh, buddy, job, face, kid, flic, foutre, type, gars, mec, con, truc, merde, hein, copain, boulot, gueule, môme |
say, cop, guy dire, flic, mec |
copy, say, yes, screw, guy, dumb, stuff, shit, ah flic, dire, oui, foutre, type, con, truc, merde, ah |
13/50 words |
3/50 words |
9/50 words |
|

| Zeta (24/50) | LLR (43/50) | Welch (32/50) |
|---|---|---|
| winter, summer, horse, marie, flower, king, spring, court, country, sea, self, cross, bird, belly, everyone, party, English, sunday, among, sing rose, season, music, eat hiver, été, cheval, marie, fleur, roi, printemps, cour, pays, mer, soi, croix, oiseau, ventre, chacun, fête, anglais, dimanche, parmi, chanter, rose, saison, musique, manger |
you, my, we, you, marie, me, rhada, the, their, oneself, of, mr, antoine, which, lalla, he, isambour, not, as, have, ludo, djafar, prisko, your, camier, yourself, madeleine, can, by, mercier, planet, vito, to ask, fintan, our, pélagie, khan, their, but, ship, daquin, where, david vous, mon, on, tu, me, rhada, le, lui, se, de, mr, antoine, qui, lalla, il, isambour, pas, comme avoir, ludo, djafar, prisko, mercier, planète, vito, demander, fintan, notre, pélagie, khan, leur, mais, vaisseau, daquin, où, david |
who, like, day, where, we, by, whose, every, at, the of, in, my, big, that, more, even, without, everyone, their, bottom, or, there, summer, night, our, self, spring, nor, me, winter, white qui, comme, jour, où, on, par, dont, chaque, au, le, de, dans, mon, grand, celui, plus, même, sans, chacun, leur, fond, ou, là, été, nuit, notre, soi, printemps, ni, me, hiver, blanc |








